为什么 AI 的世界离不开“矩阵”
矩阵并非遥不可及的数学概念,而是AI理解现实世界的核心语言。当人与商品被抽象为高维向量,AI通过矩阵运算揭示多维关系与复杂偏好。本文从结构化表达、关系建模到完整案例,深入解析矩阵如何成为AI逼近现实、驱动推荐系统的底层逻辑。

用「人 × 商品」的建模,看 AI 如何逼近现实世界
很多人一听到 矩阵,第一反应是:“太数学了”“普通人看不懂”。
但恰恰相反——如果你真的想理解 AI 在干什么,矩阵几乎是绕不开的第一性语言。
不是因为 AI 喜欢数学,而是因为:
现实世界本身,就是一个多维、高耦合、不可直接计算的系统。而矩阵,是人类目前最成熟的一种“多维现实压缩表达”。
一、矩阵的本质:是“对现实的结构化表达”(建模)
矩阵不是用来算的,而是用来结构化“表示世界”的。
现实世界的问题在于三点:
- 对象很多(人、商品、行为、关系)
- 维度很多(属性、偏好、时间、环境)
- 关系很复杂(非线性、非对称、动态变化)
AI 不可能“直接理解世界”,它只能做一件事:把世界压缩成一个“可以被计算的结构”。
这个结构,就是矩阵。
1. 人的矩阵模型
在真实 AI 系统中,一个“人”的表示,远不止 3~5 个维度。
例如,一个用户向量可能长这样:

这不仅仅是“画像”,还是在表达:
这个人,在一个高维特征空间中的“坐标”在哪里?
2. 多个人,形成“人群矩阵”
当人不止一个时:

- 行:第 (m) 个用户
- 列:第 (n) 个特征维度
此时你要意识到一件事:AI 从来不是在“理解某一个人”,而是在一个高维空间里,比较“位置关系”。
3. 商品的矩阵模型(结构化表达)
商品的建模,同样是多维的:

多个商品组成商品矩阵:

在 AI 眼里,人和商品,本质上是同一种东西:高维向量。
二、矩阵的计算:加减乘除,其实是在“操作现实关系”
当世界被建模成矩阵之后,AI 才能开始做计算。
但这些计算,早已不是“算数”,而是对现实关系的结构性操作。
1. 加法:信息叠加(多个视角合并)
以“人”为例,真实系统里往往有多套用户表示:
- 静态属性矩阵
- 行为序列嵌入矩阵

最终属性行为
对应到现实含义是:
- 这个人“是什么样的人”
- 这个人“最近在干什么”
对商品同样成立:

最终基础属性市场反馈
2. 减法:误差、偏差与学习信号
预测系统一定会犯错。
例如,用户对商品的真实反馈矩阵与预测反馈矩阵之间,必然存在偏差。
真实反馈矩阵记为:

预测反馈矩阵记为:

两者之间的误差矩阵为:

这是整个学习系统的“反馈系统”,及时修正偏差。
现实含义是:
模型发现:我对哪些人、哪些商品、哪些关系判断错了。
3. 乘法:关系建模(AI 的真正核心)
最关键的一步,发生在乘法。
典型形式:

其中:(U):人群矩阵(P):商品矩阵(W):关系权重矩阵(偏好、规则、注意力)
(W) 往往是一个稠密、高维、可学习的矩阵:

这一步的现实含义是:
不是“人喜欢商品”,而是:人在不同维度上,与商品在不同维度上,匹配上关系的“可能性”
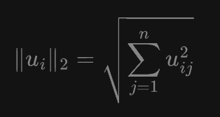
4. 除法与开根号:尺度对齐(让比较成立)
现实世界的维度尺度极不统一:收入:上万偏好:0~1频率:小数
因此需要归一化:

这里的 (|u_i|_2) 就包含开根号:

现实含义是:
不让“数值大小”,掩盖“结构关系”。
5. 指数运算:把“差一点”,放大成“选谁”
在排序与选择中:

指数的作用不是优雅,而是残酷:
把微小优势,变成确定选择。
三、完整案例:一个“人 × 商品 × 模型”的矩阵世界
现在,把一切合在一起。
1. 输入世界(高维现实)

2. 规则世界(模型)

3. 计算世界(矩阵运算)

4. 输出世界(人类可理解)
- 分数
- 概率
- 排序
- 文本 / 图像 / 推荐
现实 → 压缩 → 运算 → 再翻译回现实。
我们日常看见淘宝/美团/京东/拼多多的商品推荐,以及抖音/小红书视频的推荐,背后都是这一套算法,当然要复杂的多,但是核心逻辑都是一致的。
矩阵复杂,而是一种人通过数学符合和机器沟通的方式
矩阵之所以看起来复杂,不是因为 AI 喜欢复杂,而是因为:世界本身,就没有那么简单。
矩阵做的事情只有一件:
忠实地承认:世界是多维的,关系是耦合的,判断是计算出来的。
理解矩阵,你就理解了 AI 的力量来源,也理解了它永远不可能成为“真正的人”,它现在只是最后表达和呈现的方式“类似”人的智慧。或许有一天,它通过丰富的矩阵数据,“涌现”了一种新的“智慧”方式。
本文由人人都是产品经理作者【侠之大者】,微信公众号:【侠之大者】,原创/授权 发布于人人都是产品经理,未经许可,禁止转载。
题图来自Unsplash,基于 CC0 协议。
- 目前还没评论,等你发挥!

起点课堂会员权益



