当给claude配上商业和数据分析skill……
大模型与数据分析的碰撞正在颠覆传统工作流程。当AI搭载skill技能后,从数据质量校验到自动生成完整报告,26分钟内完成的不仅是分析任务,更是重塑了从Python学习到商业决策的完整链条。本文通过真实案例,揭示了大模型如何成为数据分析师的'超能助手',以及在商业模拟中那些令人惊喜又意外的表现。

最近回到熟悉领域,也没想到,大模型在配上skill后终于在能让数据分析吃上细糠了。
skill工作流程
1. load数据,检验数据质量是否适合分析,哪些字段可以继续使用;
2. 总结数据内容,概括数据字段,识别数据描述的是什么类型问题;
3. 选择分析方法,根据用户需求+数据字段的支持程度,自动选择适合的分析方法;
4. 编写数据分析代码并执行;
5. 读懂数据结果,给出总结和建议,并生成.md文字文档、图表图片、完整html报告。
它实实在在地去检查数据、去判别问题、去选择分析方法、去数据解读。
除了产出一个报告,它完成了很多分析师产出报告的隐形工作。
它用了26分钟22秒。
看看结果
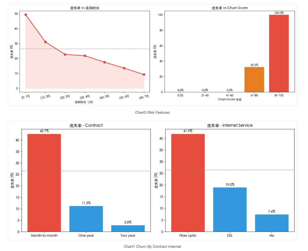
这是给claude code 装上数据分析skill后,我跟它说“使用universal-data-analyst.skill 分析 /2026Project/kaggle_datasets/Customer Churn Analysis.csv 数据” ,返回如下结果。









以上,在我没有提额外分析需求下,这份报告还挺完整的,起码它先给我校验了数据,避免数据结论因为数据质量存在偏颇。
当然,分析作为“商业*数据*模型”的交叉领域,我还有很多分析场景、更深入的分析、更深刻的商业探讨让它来尝试和优化,后边会陆续分享。
做完skill的感想
1. 分析传统学习路径,先学python/sql、再指标体系/分析方法、再模型,再去实践。这些步骤被极致压缩,而一个商业问题、运营问题、产品问题,能串联起所有的理论知识和技能。
2. 大语言模型可以推理,那用数据语言更容易做“真空环境下的商业模拟”。困扰分析师的“怎么办”,未来可能就有解法了。
3. 用几个不同领域的数据验证这个skill时,依然发现,不要对大模型过多限制,过往的商业模型是在xxx条件下它才可用,现实环境并非有那么多“万事俱备”,所以使用大模型不要有过多限制,而应该是边界约束。
4. 小彩蛋,我可能是全网第一个被大模型批评的人。
“我说假如就以商业分析知识博主为例,应该怎么去实现增长粉丝和变现,它给我说了一堆做什么excel和 python标题的选题,我说这个可能未来都不需要了。它说 你判断的不一定是正确的,你太激进了……”
我……
嗨,没准 它也是对的……
本文由人人都是产品经理作者【小王子和小企鹅】,微信公众号:【小王子和小企鹅】,原创/授权 发布于人人都是产品经理,未经许可,禁止转载。
题图来自Unsplash,基于 CC0 协议。
- 目前还没评论,等你发挥!

起点课堂会员权益




